Metode Dekomposisi Matriks
Dekomposisi matriks merupakan salah satu metode numerik untuk menyelesaikan persamaan matriks.
Apabila secara analitik, mungkin akan sangat mudah menyelesaikan persamaan matriks seperti ini AX=B, dimana kita hanya mengetahui nilai matriks A dan matriks B saja, sementara kita tidak tahu nilai dari matriks X. Secara analitik kita dapat tuliskan bahwa matriks X merupakan perkalian dari inverse matriks A dengan matriks B, atau dapat ditulis X=A
-1B.
Namun bagaimana jika matriks A merupakan matriks dengan dimensi 100×100 atau 1000×1000, walaupun dikasih uang satu juta saya juga ga bakalan mau ngerjain hal ‘sia-sia’ seperti itu secara
analitik. Tetapi dengan metode numerik dan tentu saja dengan bantuan kemampuan programming hal seperti itu akan lebih mudah dikerjakan.
Pertanyaannya, apa sih kegunaan dekomposisi matriks di dunia real? Saya akan menjawab metode ini dapat digunakan untuk melakukan interpolasi polinomial secara numerik tentunya atau dalam bidang yang sedang saya geluti, metode ini dapat membantu saja menyelesaikan persamaan Difusi Netron.
Pada metode LU Decomposition, matriks A ditulis ulang sebagai perkalian matriks L dan U (matriks A diurai menjadi matriks L dan U). Matriks L dan U merupakan matriks segitiga. Matriks B tidak berubah, karena matriks A tidak berubah, melainkan hanya ditulis ulang.
Langkah:
1. Cari matriks L dan U sehingga A = LU. Matriks B tetap.
2. Definisikan sebuah matriks kolom baru, misalnya Y, yaitu Y = UX, sehingga LY = B. Lalu hitung y dengan substitusi maju (mulai dari Y1 sampai Yn ).
3. Hitung x dengan substitusi mundur (mulai dari X1 sampai Xn).
menggunakan matriks A dengan dimensi 4×4.
Pada dekomposisi matriks LU , A = LU sehingga didapatkan persamaan
Dari perkalian matriks maka didapatkan
a11 = u11
a12 = u12
a13 = u13
a14 = u14
a21 = l21u11
a22 = l21u12 + u22
a23 = l21u13 + u23
a24 = l21u14 + u24
a31 = l31u11
a32 = l31u12 + l32u22
a33 = l31u13 + l32u23 + u33
a34 = l31u14 + l32u24 + u34
a41 = l41u11
a42 = l41u12 + l42u22
a43 = l41u13 + l42u23 + l43u33
a44 = l41u14 + l42u24 + l43u23 + u44
Sehingga dapat didefinisikanu1j = a1j (j= 1, … ,n)
dengan (i = 2, …, n)
dengan (i =2, … ,n; j=i, …, n), kemudian
dengan (i=3, …, n; j=2, …, i-1)
LY=B, dalam bentuk matriks dapat ditulis
Sehingga dapat didefinisikan
y1 = b1
dengan (i =2, …, n) dan
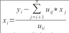
UX=Y, dalam bentuk matriks dapat dituliskan

sehingga dapat didefiniskan
x=y
n